아래 내용들은 제가 혼자 학습하면서 정리한 내용들입니다.
'부족한 내용' 혹은 '잘못된 내용'이 있을 수 있습니다.
댓글 남겨주시면 더욱 공부하고 수정하도록 하겠습니다.
감사합니다.
선형 회귀란?
- 하나의 종속변수와 하나 이상의 독립변수 사이에 최적의 직선을 찾는 알고리즘
- 예측값과 실제값의 오차를 최소화하는 선을 찾아서 모델을 최적화
- 수식을 도출하기에 매우 쉽게 때문에 그 해석도 직관적
단순 선형 회귀(Linear Regression)
- 독립변수도 하나, 종속변수도 하나인 단순한 형태의 선형 회귀

- 단순 선형 회귀에서는 기울기 $w_1$과 절편 $w_0$을 회귀 계수로 지칭하고 구한다.
- 아래 그래프는 생선의 길이와 무게 데이터로 선형 회귀선을 구해 본 것이다.

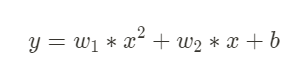
다항 선형 회귀(Polynomial Regression)
- 직선이 데이터의 특성을 알맞게 표현하지 못하고 최적의 곡선을 찾아야 할 때

- 항을 추가하여 다항식의 형태를 갖게 되는 선형 회귀

다중 선형 회귀(Multiple Regression)
- 여러 개의 특성(독립 변수)와 하나의 종속변수를 사용한 선형 회귀 모델

- 특성이 2개면 선형회귀는 평면을 학습한다.
- 다중 선형 회귀에서는 다음과 같은 가정이 필요하다.
- 각각의 독립 변수는 종속 변수와의 선형 관계가 존재
- 독립 변수 사이에서는 높은 수준의 상관관계가 존재하지 않아야 함 - 다중 공선성 문제
- 추정된 종속 변수의 값과 실제 관찰된 종속 변수의 값과의 차이, 즉 잔차(residual)가 정규 분포를 이루어야 함
Overfitting, Underfitting
- 모델의 훈련이 끝나면 훈련 세트와 테스트 세트에 대해서 평가 점수를 구할 수 있다.
Overfitting
- 훈련 세트의 점수에 비해 테스트 세트의 점수가 과도하게 낮으면 Overfitting
- 훈련 데이터의 잡음의 양에 비해 모델이 너무 복잡할 때 발생
- 해결 방법
- 파라미터 수가 적은 모델을 선택, 훈련 데이터의 특성의 수 줄이기
- 모델이 훈련세트를 너무 과도하게 학습하지 못하도록 제약을 가하여 단순화시킴
- 더 많은 훈련 데이터 사용해보기
- 훈련 데이터의 잡음 줄이기(ex : 오류 데이터의 수정 or 이상치 제거 등)
Underfitting
- 훈련 세트의 점수에 비해 테스트 세트의 점수가 너무 높거나 두 점수가 모두 너무 낮으면 Underfitting
- 모델이 너무 단순해서 데이터의 내재적인 구조를 모델이 학습하지 못하는 경우
- 해결 방법
- 모델 파라미터가 더 많은 강력한 모델 선택
- 학습 알고리즘에 더 좋은 특성 제공
- 모델의 제약을 줄임
Fiture Engineering
- 기존의 특성을 사용해 새로운 특성을 뽑아내는 작업
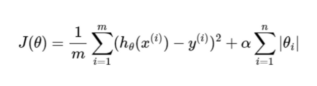
Regularization
L1
- 예측 영향력이 작은 특성의 회귀 계수를 0으로 만들어 회귀 예측시 특성이 선택되지 않게 하는 규제 모델

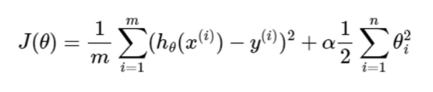
L2
- 상대적으로 큰 회귀 계수 값의 예측 영향도를 감소시키기 위해서 회귀 계수값을 더 작게 만드는 규제 모델

Ridge & Lasso…Elastic-net
- Lasso
- 예측 영향력이 작은 피처의 회귀 계수를 0으로 만들어 회귀 예측 시 피처가 선택되지 않게 하는 것
- L1 규제를 추가한 회귀 모델
- Ridge
- 상대적으로 큰 회귀 계수 값의 예측 영향도를 감소시키기 위해서 회귀 계수값을 더 작게 만드는 규제 모델
- L2 규제를 추가한 회귀 모델
- Elastic-net
- 주로 특성이 많은 데이터 세트에 적용, L1 규제로 피처의 개수를 줄임과 동시에 L2 규제로 계수 값의 크기를 조정
- 릿지와 라쏘를 결합한 모델
Hyper Parameter
- 머신러닝 알고리즘이 학습하지 않는 파라미터, 사람이 직접 지정해줘야 한다.
- Ridge와 Lasso의 alpha 파라미터가 대표적
Reference
https://wikibook.co.kr/pymlrev2/
https://hongong.hanbit.co.kr/혼자-공부하는-머신러닝-딥러닝/
https://hleecaster.com/ml-linear-regression-concept/
https://realblack0.github.io/2020/03/27/linear-regression.html
https://justweon-dev.tistory.com/19
...끝
'ML & DL > Machine Learning' 카테고리의 다른 글
[ML] Logistic Regression (0) | 2023.01.10 |
---|---|
[ML] Encoding : Label & One Hot (0) | 2022.12.16 |
[ML] Data Pre-processing : Scaling (0) | 2022.12.16 |
[ML] KNN(K-Nearest Neighbor) (2) | 2022.12.12 |
[ML] 지도 학습, 비지도 학습, 강화 학습 (3) | 2022.12.09 |
댓글